CADCOM/MANUEL D'UTILISATION
INTRODUCTION
Les données se présentent en général sous forme d'une matrice de colonnes et de lignes.
Exemple d'analyse qualitative: CONSOMMATION ALIMENTAIRE DES EUROPEENS REF.JC DORE/JANVIER 1998
En analyse qualitative,on cherche à classer les données.
| Aliments/Pays | rfa | france | italie | pays bas | uebl | ru | irlande | danemark | grece |
| cereales | 68 | 76 | 127 | 60 | 72 | 68 | 84 | 68 | 82 |
| riz | 2 | 4 | 3 | 3 | 2 | 3 | 2 | 2 | 4 |
| p.de.terre | 81 | 74 | 41 | 81 | 101 | 102 | 111 | 68 | 70 |
| sucre blanc | 36 | 34 | 31 | 37 | 35 | 40 | 42 | 44 | 24 |
| legumes | 64 | 115 | 172 | 82 | 60 | 76 | 83 | 57 | 237 |
| fr.frais | 89 | 53 | 69 | 84 | 64 | 33 | 30 | 38 | 57 |
| vin | 25 | 93 | 87 | 13 | 66 | 6 | 3 | 14 | 45 |
| huiles vegetales | 6 | 12 | 20 | 4 | 4 | 8 | 8 | 7 | 22 |
| margarine | 7 | 3 | 1 | 12 | 10 | 6 | 4 | 12 | 1 |
| viande bov. | 24 | 33 | 25 | 21 | 28 | 23 | 23 | 13 | 20 |
| viande porc | 58 | 38 | 24 | 41 | 41 | 26 | 32 | 51 | 18 |
| volailles | 84 | 90 | 80 | 136 | 87 | 14 | 14 | 9 | 13 |
| lait et derv | 85 | 91 | 84 | 135 | 89 | 134 | 187 | 159 | 64 |
| beurre | 6 | 7 | 2 | 3 | 8 | 5 | 11 | 6 | 1 |
| fromages | 12 | 18 | 13 | 13 | 10 | 6 | 3 | 10 | 8 |
| oeufs | 17 | 15 | 11 | 11 | 14 | 14 | 14 | 14 | 12 |
Représentation graphique:l'histogramme:
Pour le pays "France",l'histogramme ci-dessus affiche
* en ordonnées la fréquence (consommation alimentaire)
* en abcisses le type d'aliments
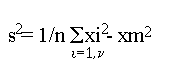
Données numériques:
* la médiane(M est tel que f(m)=0.5
* la moyenne
* l'écart type
* la variance
Exemple d'analyse quantitative: L'équation de Cramer
En analyse quantitative,on recherche y=f(xi)
| Observations | X1 | X2 | X3 | X4 | Y |
| Obsv n°1 | 1 | 1 | 1 | 1 | -4 |
| Obsv n°2 | 1 | 1 | 1 | -1 | 14 |
| Obsv n°3 | 1 | 1 | -1 | 1 | 18 |
| Obsv n°4 | 1 | 1 | -1 | -1 | 8 |
| Obsv n°5 | 1 | -1 | 1 | 1 | 0 |
| Obsv n°6 | 1 | -1 | 1 | -1 | 18 |
| Obsv n°7 | 1 | -1 | -1 | 1 | -6 |
| Obsv n°8 | 1 | -1 | -1 | -1 | 12 |
| Obsv n°9 | -1 | 1 | 1 | 1 | -12 |
| Obsv n°10 | -1 | 1 | 1 | -1 | 6 |
| Obsv n°11 | -1 | 1 | 1 | -1 | 6 |
| Obsv n°12 | -1 | 1 | -1 | -1 | -18 |
| Obsv n°13 | -1 | 1 | -1 | -1 | 0 |
| Obsv n°13 | -1 | -1 | 1 | 1 | -8 |
| Obsv n°14 | -1 | -1 | 1 | -1 | 10 |
| Obsv n°15 | -1 | -1 | -1 | 1 | -14 |
| Obsv n°16 | -1 | -1 | -1 | -1 | 4 |
(SOMMAIRE)
Webmaster:
Last revised:05/2000